测试原理根据ASTM标准方法D937-92,采用锥形探针进行测试,测试目标是评估蜡的硬度或坚实度。
背景蜡是天然合成的有机产品。一般在高温下比较软,在低温(较冷)下比较硬。因此,一些蜡的“粘性”和硬度取决于温度。硬质蜡粘性较低,因而粘着。采用不同级别的蜡来改变蜡的硬度,可改变蜡的粘着性或拉力。
许多化妆品、医疗产品、个人护理产品都包含蜡。蜡能够赋予产品光泽以及坚实度,加之模制特性,补足产品的最终质感。在创制预期特性方面,测量蜡的硬度(坚实度)可确定蜡是否适用于特定产品。
标准方法D937-92采用穿透计来确定标准锥体在固定条件下的穿透深度。CT3质构仪采用标准方法,使用特定参数,提供测量替代方法,例如确定穿透特定距离所需的力。锥体角度范围为15–90°。
方法
| 设备: |
CT3带4.5千克负载单元 |
| |
30° 锥形探针 |
| |
TexturePro CT软件 |
设置:
| 测试类型: |
张力 |
| 测试前类型: |
1.0毫米/秒 |
| 测试速度: |
2.0毫米/秒 |
| 试验前速度: |
2.0毫米/秒 |
| 目标类型: |
距离 |
| 目标值: |
30毫米 |
| 触发力: |
20克 |
注意:
建议将测试前的速度等于或小于精确触发检测的测试速度;例如,2毫米/秒测试速度时要求测试前速度≤2毫米/秒。
很软的样品将无法达到150克的力。在此类情况下,应先测试最软的样品,以确定程序是否可用。可能需要制定合适的方法。
样品准备在标准方法中,将样品熔化至82°C并导入标准容器中。将样品冷却至室温,保持16-18小时(请参见ASTM标准方法以了解更多信息)。替代方法(也用在该测试中)用于直接在原有容器中对样品进行测试。如果使用此方法,需将所选容器的尺寸上报并应用于随后的测试。由于可能影响结果,样品表面须保持完好无损。
流程 1.
将锥形探针连接到负载单元。
2.
将样品居中置于锥形探针下方,距容器边缘15毫米处。
3.
开始穿透测试。
4.
当探针从样品中拉出时,紧紧握住容器防止上提。
5.
进行下一步操作时,用一块干净的干布擦拭锥形探针,清除所有蜡痕。
注意:
在开始测试之前,锥体的温度也须保持在室温下。
该测试可测量产生150克负荷所需的距离。替代方法也可用于测量穿透特定距离所需的力。
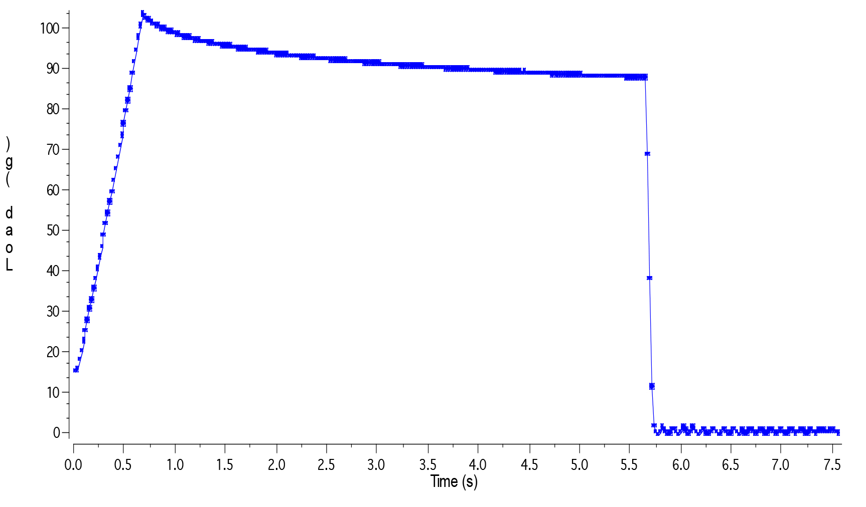
结果以下是一个典型的TexturePro CT图。图表中所示为用锥形探针测量的凡士林的蜡硬度。

图 I
图I中所示为所测的凡士林样品(50毫升、3.5 x 5.0厘米)的硬度。

图 II
图II所示为凡士林硬度的负荷与时间的对应关系。
观察结果达到5克的触发力时,探针开始穿透样品,直至达到150克的力。然后保持5秒钟,直至探针以10毫米/秒的测试后速度从样品抽回。穿透距离取决于样品的硬度。穿透距离长表明样品软,而穿透距离短表明样品较硬。在确定为特定产品选择用蜡方面,该测试对于比较不同蜡的硬度非常有用。
下表所示为在多个地点测量的凡士林的平均值。
硬度变形 (毫米) |
压缩功 (兆焦耳) |
| 17.05 ± 2.4 |
9.74 ± 1.22 |
>>下载该应用说明的PDF版本。